2022-07-14
甜叶菊是一种多年生短日照菊科草本植物,原产于与巴西接壤的巴拉圭东北部的阿曼拜山脉。 当地居民经常用它来制作健康的甜叶菊植物饮料。 我国于 1970 年代开始引进和种植甜叶菊。 产区主要集中在山东、新疆、江苏、安徽、福建等省,种植面积逐年增加。 目前,我国甜叶菊年均产量约4万吨,已成为最大的甜叶菊生产国和出口国, 可谓拥有非常丰富的甜叶菊生物资源。

甜叶菊含有多种初级和次级代谢产物,如蛋白质、脂类、维生素、矿质元素,以及甜菊糖苷、绿原酸、黄酮类、奥泽兰、邻苯三酚等物质,不仅具有高营养 价值,也具有良好的生物活性和药用价值,既是优质的药食两用资源,也是多种生物活性物质的天然提取源。
1、甜菊糖苷
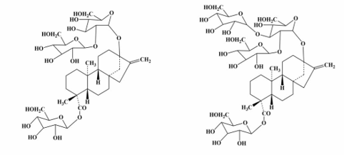
甜菊糖苷类化合物是甜叶菊中含量最高、最多一类的功能性物质,约占甜菊叶片干重的4-20%。甜菊糖苷属于四环二萜类化合物,现已发现甜菊中含有40多种不同的甜菊糖苷,主要有甜菊苷、甜菊醇、甜菊醇二糖苷、莱鲍迪苷(ABCDEF)、甜菊苷、杜尔克苷、悬钩子苷等。 图1 显示甜菊苷和莱鲍迪苷A的分子结构。甜菊糖苷是非营养性天然甜味剂,比蔗糖甜200-300倍,摄入后不会引起血糖升高,还具有低热量、非酵解、热稳定性好等优点,可以作为蔗糖的天然替代品。

甜菊苷(左)和莱鲍迪苷A(右)- 分子结构
由于糖摄入过多引起的肥胖、糖尿病等慢性病不断增加,人们对各种减糖健康食品的需求不断增加。在此背景下,甜菊苷作为优质的“代糖”,在新型甜味剂和无糖低糖食品开发领域有相当大的应用价值。与木糖醇、甘草甜素、莫内林、仙茅甜蛋白、新橙皮苷等植物中含量极低的天然甜味剂相比,或与糖精、阿斯巴甜、三氯蔗糖等人工合成甜味剂有金属后味的欠佳口感相比,甜菊苷原料价格便宜易得,提取工艺简单,适用范围广,逐渐成为甜味剂市场的新宠。
除了可作天然甜味剂外,各种甜菊糖苷的药理活性也逐渐被发现。研究发现,甜菊苷和莱鲍迪苷A对糖尿病患者具有降血糖、促进胰岛素和胰高血糖素分泌、降低血压、提高免疫力等作用。
甜菊糖苷易溶于水和醇类溶剂,因此一般选择水或乙醇作为溶剂从甜叶菊中提取甜菊糖苷。目前,甜菊糖苷提取方法除蒸煮法、发酵法、冷水浸泡法等传统方法外,还有微波辅助提取法、超声波辅助提取法、高压辅助提取法、超临界流体萃取法等较为新兴的方法。研究发现,在传统方法中,蒸煮法对甜菊糖苷的提取率最高,冷水浸泡法次之,发酵法较低。与传统方法相比,新兴方法对甜菊糖苷的提取率都有不同程度的提高。 例如,超声波辅助提取法对甜菊糖苷的提取率为12.78%,比传统蒸煮法提高了10.27%。
2、绿原酸类
绿原酸类物质是由奎尼酸/奎宁酸与反式肉桂酸(咖啡酸、P-番豆酸、阿魏酸等)通过酶促酯化反应脱水缩合而成的一类缩酚酸类天然成分,它是甜叶菊中的另一大类生物活性物质。绿原酸分布于甜叶菊的全株中,叶片中含量最高。甜叶菊中已检测出24种奎尼酸和莽草酸的羟基肉桂酸衍生物。动物实验研究发现,绿原酸类物质具有抑菌、抗氧化、抗病毒、降血压等多种活性,被誉为"植物黄金"。在各种有益作用中,抗氧化和抗炎是绿原酸最重要的作用之一,这与其分子中的酚羟基结构密切相关。 研究表明,绿原酸清除羟基自由基的能力高于维生素E; 另据报道,绿原酸可以通过清除活性氧来改善酒精引起的肝损伤。
3、黄酮类cy888彩运
甜叶菊叶还含有多种黄酮类物质,主要有芦丁、黄酮醇及其衍生物、槲皮素及其衍生物、山 奈 酚及其衍生物、芹菜素及其衍生物等。目前已分离出甜菊中的十多种黄酮类化合物,不同的黄酮类化合物具有不同的生物活性,一般表现为抗氧化、抗菌、抗病毒、抗辐射、抗肿瘤、提高机体免疫力等药理活性。研究发现,通过微波提取得到的总甜菊黄酮对DPPH自由基的清除率高达91.39; 另一项研究发现,总甜菊黄酮对DPPH自由基的清除能力有显着的剂量效应。
4、甜叶菊叶蛋白
叶蛋白是一种高分子材料,有17-18种氨基酸,其中8种是必需氨基酸。 甜叶菊含有约 13% 的粗蛋白。前期对甜叶菊的利用多是提取其中的甜菊苷等活性物质,其中所含叶蛋白的利用很少。叶蛋白是赖氨酸含量高的优质蛋白质,能有效补充中国人以谷类为主食时出现的赖氨酸摄入限制。 甜叶菊叶蛋白提取物不含胆固醇,可作为脂肪肝、心血管疾病等患者的蛋白质补充剂。但由于植物叶蛋白常呈绿色或灰白色,且具有一定的草腥味,因此需要通过改进提取工艺来改善其外观和味道,使其更具经济价值。
应用情况cy888彩运
甜菊提取物因其良好的生物活性和药用价值而被广泛应用于食品、饮料、化工、医药等行业。例如,甜菊糖本身已被添加到饮料、糖果、甜点和其他产品中,作为甜味剂代替蔗糖。甜菊糖苷经糖基化得到的葡糖基甜菊糖苷比天然甜菊糖苷的甜度更好,而且没有天然甜菊糖中后苦味的问题;绿原酸的抗氧化活性可用于化妆品配方中,在抗脲酶化妆品、抗衰老护肤品、防紫外线和染发剂等方面已经有多项产品添加了绿原酸。具有抗菌活性的绿原酸还可以作为天然防腐剂; 黄酮类化合物的各种有益功效已成为保健品行业的宠儿,并被广泛用于抗氧化增强机体抵抗力,甜菊叶蛋白的开发和应用还比较少,但其作为膳食补充剂和营养强化剂的潜力非常显著。
除了以上几种主要的生物活性物质外,甜叶菊经提取后产生的滤渣、滤液等副产物中
cy888彩运存在大量纤维素、维生素、天然色素和生物碱等物质,也有很高的利用价值。若能将这部分资源综合利用,不仅可以减少废弃物对环境造成的压力,而且可以提高产品的附加值,使甜叶菊产业链更加完整,具有更好的社会、经济和环境效益。